导读:近日,西湖大学理学院物理系吴颉团队关于界面超导最新成果发表在物理学科国际顶级期刊《Physical Review X》上,西湖大学物质科学平台在本工作的极低温输运测量方面提供了大力技术支持。

这是一个5毫米 x 5毫米的平面,今天的故事将围绕它展开。
想象一下,将两种特定的绝缘体叠放在一起,随后令人惊讶的事情发生了:二者的交界区域能导电,甚至能超导。
这片超导区域大约4纳米厚,差不多是10层原子的厚度。当超导发生时,上面数以万亿计的电子两两配对,自由穿梭其中,在这片量子舞台上协同起舞。
但问题是,两种绝缘体放在一起,界面处怎么就超导了?
作为百年超导的新战场,氧化物异质结界面超导体系正不断有新奇物理特性被发现。就像是被迷雾笼罩的新大陆,很多还无法被现有理论明确解释。科学家们对之报有重大期许:也许这里正隐藏着揭开超导奥秘的钥匙。
这一回,西湖大学理学院吴颉团队找到了其中一把:他们联合浙江大学谢燕武研究团队,利用自主开发的高精度角分辨电阻(ARR)测量方法,在LaAlO₃/KTaO₃(111)(LAO/KTO)超导界面中,首次系统地测量并揭示了超导态及其附近的量子态中电子向列性的演化规律。这项成果近日发表在物理学顶刊《Physical Review X》上。
简单来说,吴颉团队首次在这个神秘的二维界面上“看见”,当材料即将进入超导态时,界面上究竟发生了什么。
论文链接:https://journals.aps.org/prx/abstract/10.1103/PhysRevX.15.021018
绝缘体 + 绝缘体 = 超导
没什么能比这个等式,更加让人感到困惑了。
1911年,荷兰科学家昂内斯偶然发现汞在4.2K(约-269℃)时电阻突变为零,物理学中最吸引人的宏观量子效应之一——超导电性,自此显露了它神奇的一角。
如今百年过去,科学家已挖掘出数千种超导材料,期间诞生了多位诺贝尔奖获得者。目前大多数传统金属的超导都可以被经典BCS理论所解释,但对于高温非常规超导体系,至今仍没有完美的理论能够解释其机理。
李政道对超导的形象描述:超导本质上是低温下电子两两配对,并以统一的节奏行动,实现无损耗地运动。
与此同时,室温常压超导,这个凝聚态物理学的圣杯至今仍未现身。新的非常规超导材料也不断在突破经典理论,让人感到不解。“经过这一百多年,科学家们当初在金属超导体上总结出的经验规律和理论,纷纷被新的发现所推翻,问题似乎又回到了起点。”吴颉曾如此表示。
西湖大学物理系副教授吴颉本质上,超导相关研究主要就是做两件事:找到临界温度(Tc)更高的超导材料,以及搞明白高温超导电性的产生机理。
氧化物界面超导,一个超导机制尚不明确的新兴体系,就这样吸引了科学家们的目光。
2007 年,Reyren等人在 LaAlO₃/SrTiO₃ (LAO/STO) 界面首次观测到界面超导,Tc在0.2K左右,把“绝缘体 + 绝缘体 = 超导”这个反直觉的现象推至台前。 2021 年,美国阿贡国家实验室又发现了类似的现象:在EuO/KTaO₃ (EuO/KTO) 和LAO/ KTaO₃ (LAO/KTO) 氧化物界面,同样出现了超导电性。Tc是LAO/STO界面超导体系的10倍左右,这为后续相关研究提供了重要的平台。
无论是 STO 还是 KTO,它们都具有钙钛矿结构,晶格常数相近,可作为界面超导材料的“衬底”。科研人员用脉冲激光沉积等方法,把 LAO、EuO 等氧化物逐层“打印”在这些衬底上。当达到临界厚度时(例如 LAO的厚度达到约 4 个原子层),原本绝缘的界面则会突然出现一层仅几纳米厚的导电层,形成准二维的电子系统。物理学家们知道,低维物理常带来块体材料所没有的奇异性质。
那么,这个薄膜上电子是如何配对进而产生超导的?还不清楚。
氧化物界面超导,更像是常规超导,还是非常规超导?尚无定论。
它会拥有更高的临界温度吗?悬而未决。
你会发现,当面对这样一个“反常”的超导体系时,俯身皆是未知。
但可以肯定的是,LAO/KTO这类氧化物异质结界面超导体系提供了一个潜力巨大的量子材料平台:不同氧化物之间的灵活组合或将催生更多意想不到的电子态,并为研究高温超导机理提供独特视角。
从2019年开始,吴颉指导博士生成相泊开始了对LAO/KTO界面超导体系的研究。
电子们的“自由意志”
先说结果,在这样一个奇妙的量子体系里,吴颉团队看到了什么?
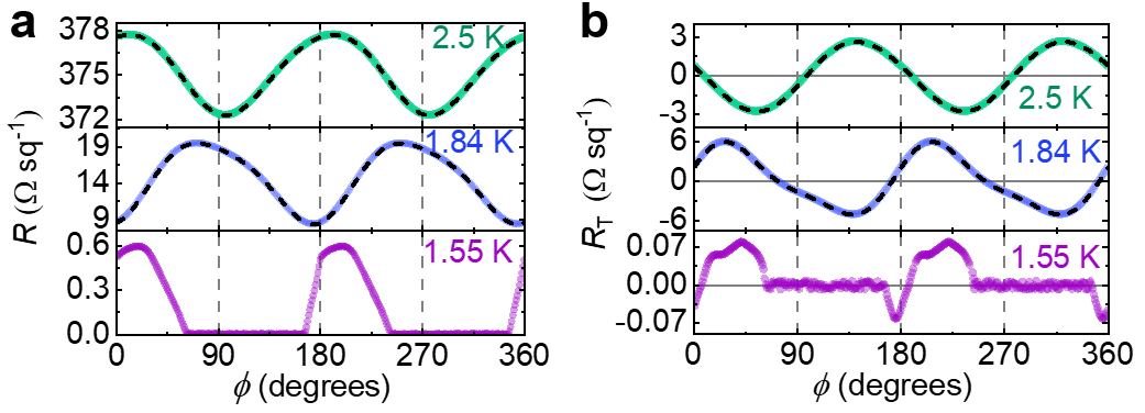
最反常的是,吴颉团队发现在超导临界温度附近,也就是进入超导态前,LAO/KTO界面电阻并非同时沿所有方向均匀下降,而是先沿某一方向显著降低,这意味着超导会在某个方向上率先出现,随后才蔓延到其他方向。
当温度继续降低到超导临界温度附近时,电子们突然像获得了“集体智慧”,率先沿某一方向成对凝聚。这种自发选择方向、破坏原本状态的行为被称为电子向列性(Electronic Nematicity)。
Tc 附近的电子向列性。(a)和(b)分别展示了三个代表性温度2.5、1.84和1.55 K下的纵向电阻和横向电阻随角度的周期性振荡
不仅如此,吴颉团队还在LAO/KTO的量子金属态中,发现了电子向列性。通过施加垂直于界面的磁场,超导态会被抑制,但反常的是,此时界面电阻却随温度降低,逐渐趋于一个非零的有限值,这种特殊的状态被称为量子金属态,其形成机制目前学界尚无定论。吴颉团队发现,量子金属态中仍残存着电子向列性,仿佛超导的“印记”还未散去。
而这是电子向列性在量子金属态中首次被发现。
量子金属态中的电子向列性。(a)和(b)分别展示了三个代表性磁场0.1、0.45和1.0 T下的纵向电阻和横向电阻随角度的周期性振荡
种种新奇的现象,带来了更多实验证据,以及更多的疑问。电子向列性是如何产生的?目前学界还没有确定的答案。吴颉团队也提出了自己的猜测,这可能源于电子态中自发形成的,动态或静态的电子条纹相(stripe phase)——电子在空间中自发形成了周期性的密度分布。
此前,科学家在铜基、铁基等非常规高温超导体系中均发现了电子向列性。如果科学家能搞清楚电子向列性与高温超导性之间的联系,或许人类离实现高温超导的目标就愈加前近了一步。
接下来,让我们先从微观粒子的汪洋大海中抽身出来。当我们再看这一片小小的界面时,我们看到的是什么?
自发对称性破缺。
诺奖获得者菲利普·安德森曾在1972年介绍对称性破缺,他在那篇著名的论文标题中写道:More is different(多则不同)。当粒子数量达到宏观尺度时,会涌现出难以从单个粒子推导出的新规律。
本篇文章所讲述的故事,就是万亿电子化作一个大集体时,他们自己的选择。
吴颉解释,假设桌子上立着一支笔尖朝下的铅笔,不论你从哪个角度看它,这支笔并不会发生变化,这就是铅笔的旋转对称性。而当铅笔的平衡不再,即将倒下时,它会倒向任意一个方向,此时,对称性就“自发”地被打破了。
类似地,电子原本在材料中无规则地随机移动,也就不存在电阻在不同方向上的差别,换言之,电子的运动具有旋转对称性。当温度降低,这个系统自身的微小扰动让某个方向上的电阻发生了变化,原有对称性就此破缺。从物理学意义上讲,对称性从高到低破缺,是混乱迈向整齐,无序变得有序的过程。
可以看出,自发对称性破缺,与前文提到的电子向列性的形成、氧化物界面超导的机制,是相关联的事情。
事实上,对称性自发破缺是个常见现象,很大程度上造就了我们的世界。不论是BCS理论,还是基本粒子标准模型的希格斯机制,甚至一群鸟类飞着飞着,就统一朝着某个方向行进,它们的背后都是对称性的自发破缺在起作用。
五年磨一剑
前文提到,这个课题,成相泊从2019年开始着手研究。
但事实上,要聊这次成果,2019年依然不是起点,这事得从2012年讲起。那时的吴颉刚美国加州伯克利大学毕业没多久,从国家强磁场实验室转而加入美国布鲁克海文国家实验室,担任助理研究员。
科研的出发点,往往都是偶然。那时的吴颉正在对LSCO材料(镧锶铜氧)做常规的电输运测量,却发现了奇怪的事:他在电流的垂直方向上也测到了电阻,甚至效应还很明显。吴颉一头雾水:这跟教科书说的不一样啊!
“这是第一个最困扰的事情,就这东西,怎么能不是0呢?从任何的物理基本意义上来说,它都得是0。”
其他实验室成员也都注意到了这个现象,但大家没有答案。一直到四年后,吴颉终于解开了这个谜题,现在想来也简单,这正是电子向列性导致的。这篇成果当年发表在了《自然》杂志上。
2019年,吴颉加入西湖大学物理系。正巧,浙江大学谢燕武教授在研究LAO/KTO的界面超导现象时,也在霍尔效应测试中发现了奇怪的电阻现象。两位凝聚态物理学家一合计,打算试试在界面上找寻电子向列性的身影。
但这事做起来并不容易。吴颉首先掏出老办法——界面上刻出36根霍尔条,每10度测量纵向和横向电阻。但这种检验方式对于样品的均匀性要求极高——在研究的前三年,受困于测量信噪比过低,以及样品质量的限制,一直没有看到界面上的电子向列性。
时间来到2022年。一个新的方法突然浮现:电流密度遵从矢量合成的规则,换句话说,只需要控制电流两个分量的方向,他们自然能实现对整个界面电流方向近乎连续的控制。这种自主开发的高精度角分辨电阻(ARR)测量方法,使电阻测量的角度分辨率从10度提升到了0.1度,甚至更高。
吴颉在2017年(左)和2025年(右)两项成果中分别使用的研究方法“是不是很简单?科学上很多东西都是这样,听上去很简单,但之前就是没想到。”
同样也是2022年,谢燕武课题组LAO/KTO界面超导样品的制备质量显著提升。在两边实验室双双取得了重要进展的情况下,他们最终如愿在界面上看到电子向列性的存在迹象。
研究到了这里还没结束。越热的话题,可能越需要坐穿冷板凳的耐心。大热的超导可能尤为如此。“很多研究如果做的不够严谨,会经常有一些错误的‘大发现’。但作为科学家来说,我们一定要对我们自己发表的东西负责。”吴颉说道。
论文第一作者成相泊在研究中看到结果后,研究团队又花了接近两年时间,反复确认实验结果的真实性,并对样品进行系统性的测量。为此,他们先后排查测试了数十块样品——想要系统性地测量一块样品的数据,成相泊需要在稀释制冷机前实验近一个月时间。稀释制冷机能够将材料温度降低至约10 mK,接近于绝对零度。
故事到此,才暂告一段落。吴颉实验室与电子向列性的研究则还在继续,他们希望用更多测量手段,来表征界面超导体系,并研究超导电性与电子向列性之间的关系。最终,自然是希望进一步探索神秘的超导机理。
“科研永远是你回答了一个问题,然后出来更多的问题。永远是这个状态。对我们来说,总会有值得进一步思考的问题不断出现。”
吴颉实验室合影